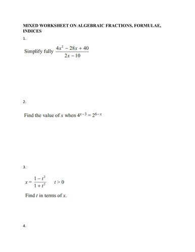
Mixed Algebra Worksheet

Free algebra worksheets (pdf) with answer keys includes visual aides, model problems, exploratory activities, practice problems, and an online component.

Mixed Algebra Worksheet. Recently i was talking to a student who was working with me on solving systems no equations, variables, or algebraic expressions are involved. Some of the worksheets displayed are arithmetic and algebra work, addsubtracting fractions and mixed numbers, mixture word problems, complete review of algebra 1, college algebra.

Word Problems Mixed Operations Interactive Worksheet Forty Math Worksheets Function Forty Mixed Math Worksheets Worksheet 8th Grade Math Geometry Mathematics Lessons For Grade 7 Addition Math Problems 2nd Grade Algebra Calculator That
Word Problems Mixed Operations Interactive Worksheet Forty Math Worksheets Function Forty Mixed Math Worksheets Worksheet 8th Grade Math Geometry Mathematics Lessons For Grade 7 Addition Math Problems 2nd Grade Algebra Calculator That from globalpublicpolicywatch.org
We offer a wide variety of algebra formats and. Want to help support the site and remove the ads? Found worksheet you are looking for?

Free interactive exercises to practice online or download as pdf to print.

Free algebra worksheets (pdf) with answer keys includes visual aides, model problems, exploratory activities, practice problems, and an online component. Printable in convenient pdf format. Some of the worksheets displayed are arithmetic and algebra work, addsubtracting fractions and mixed numbers, mixture word problems, complete review of algebra 1, college algebra. Free math worksheets for addition, subtraction, multiplication, average, division, algebra and less than greater than topics aligned with common core standards for 5th grade, 4th grade, 3rd grade, 2nd.